COVID Architect Deborah Birx Blames Measles Outbreak on 'Vaccine Hesitancy' She Helped Create
...And like her pandemic response strategy, her new analysis is flawed as well.
What is left of the corporate media’s fallen empire is desperate pin the latest measles outbreak on RFK Jr. as if his mere presence is enough to trigger such events. The Texas Department of Health’s websites states, “At this time, 146 cases have been identified since late January.” – a full month before Kennedy was sworn in as HHS secretary.
Meanwhile, HHS social media accounts under Kennedy’s leadership are posting refreshing updates like this:
“Here at @HHSGov we have:…Updated the CDC website with guidance on measles management to include physician-administered outpatient vitamin A”
At the same time, failed Covid response architect Deborah Birx, who bragged that she knew the Covid vaccines wouldn’t protect against infection, recently said this in her Cuomo interview in response to the recent measles outbreak:
“Vaccine hesitancy has risen most since Covid…ever since COVID we had the most dramatic inflection point in vaccine hesitancy.”
It has since been proven that Birx, Fauci, et al.’s vaccine mandates and pandemic policy literally created runaway ‘vaccine hesitancy.’
Moving away from the gaslighting alongside NewsNation’s unremarkable reporting and back to reality.
The U.S. Centers for Disease Control and Prevention’s (CDC) latest update on the measles states:
“There have been 3 outbreaks (defined as 3 or more related cases) reported in 2025, and 93% of cases (153 of 164) are outbreak-associated. For comparison, 16 outbreaks were reported during 2024 and 69% of cases (198 of 285) were outbreak-associated.”
The latest measles outbreak being witnessed in Texas is grabbing national attention.
CNN’s early reporting stats:
“The bulk of the cases, 80, remain in Gaines County, where the outbreak began, but there has also been spread to eight additional counties. Most of the cases are in people who were unvaccinated or whose vaccination status is unknown. Five cases were reported in people who said they have been vaccinated.”
So five cases were in the vaccinated and an unknown number could also be in people who were vaccinated according to corporate media reporting. Since this is only the 3rd outbreak of measles behind 16 last year, its important to look at some facts.
NewsNation’s Chris Cuomo’s deep dive on the measles outbreak went like this:
“The Mennonites don’t take the vaccine. That’s the end of the analysis.”
No Chris, that’s not the end of the analysis. Not by a long shot.
In previous measles outbreaks, a large percentage of cases were in the vaccinated.
An article in the journal Pediatrics writes:
“Within a 3-month countywide epidemic of measles in Jacksonville, Florida, 28 cases occurring among a kindergarten enrollment of 145 were carefully studied since 25 of these children had been previously immunized with a live, attenuated measles virus vaccine and immune globulin.”
The CDC’s in-house science journal reported on a previous outbreak in Illinois:
A review of health records in the high school showed that all 411 students had documentation of measles vaccination on or after the first birthday, in accordance with Illinois law.
The review also came with an informative editor’s note:
Editorial Note: This outbreak demonstrates that transmission of measles can occur within a school population with a documented immunization level of 100%. This level was validated during the outbreak investigation.
In 2019, the WHO declared Sri Lanka had eliminated measles because of the success of its vaccine program – which boasted over 95% coverage with both the first and second dose of measles and rubella vaccine. Yet in 2023, the panic alarm sounded as UNICEF/WHO scrambled to give more measles shots because of a new measles outbreak:
UNICEF, together with WHO, will support the Ministry of Health in implementing a supplementary measles immunization activity (SIA) in Sri Lanka aimed at controlling the ongoing measles outbreak, midst over 700 measles cases reported in the country since May 2023.
Why are there continuous reports of the vaccinated becoming cases of an illness they were vaccinated for?
A look at the science may provide a greater view. A 2019 study admitted the following:
“Limited data are available on detection of measles vaccine virus (MeVV) RNA in human subjects following vaccination. Available evidence suggests MeVV RNA can be identified up to 14 days after vaccination, with detection beyond this rare.”
It goes on to show their findings which report detection and confirmation of measles vaccine virus RNA from the respiratory tract of 11 children between 100 and 800 days after most recent receipt of measles-containing vaccine.
800 days!
So measles-vaccinated children could be walking around with measles virus RNA in their respiratory tract for up to 800 days after vaccination according to this study. Are they shedding this while not showing any symptoms of measles illness?
An individual’s blood antibody titres correlate with the body’s ability to neutralize/fight foreign invaders. During a 1988 measles outbreak in Taiwan, blood samples of those affected in the outbreak had been gathered. Researchers found the following:
The study suggests that measles NT titres >1, 000 mIU/ml may prevent measles infection and NT titres >500 mIU/ml may prevent symptomatic infection but vaccinees with undetectable or low NT titres may not necessarily be susceptible to symptomatic infection.
A key clue emerged, those receiving a measles vaccine sometimes had “undetectable or low NT titres” which made them “not necessarily be susceptible to symptomatic infection.” Once again, we see the possibility of vaccinated, asymptomatic carriers.
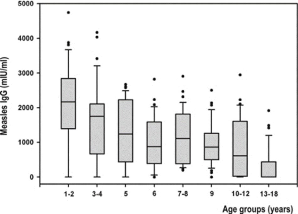
Piecing the picture together further, a study looking at the measles virus-specific antibody levels in 350 vaccinated healthy children and teenagers who received one dose of a measles vaccines found the following:

If anyone under 500 mIU/ml has the possibility of showing symptoms of a measles infection, it takes until roughly age 5 in this study to show the lowering trend of antibodies of those vaccinated quickly enter the realm for them to acquire and show symptomatic measles infection. By age 10-12 and onward, it is the bulk of children.
The cumulative data shown in these studies paints a picture of a primary and secondary vaccine failure and the re-emergence of measles among vaccinated populations.
The above study states:
“Multiple studies demonstrate that 2–10% of those immunized with two doses of measles vaccine fail to develop protective antibody levels, and that immunity can wane over time and result in infection (so-called secondary vaccine failure) when the individual is exposed to measles.”
The authors continue:
“For example, during the 1989–1991 U.S. measles outbreaks 20–40% of the individuals affected had been previously immunized with one to two doses of vaccine. In an October 2011 outbreak in Canada, over 50% of the 98 individuals had received two doses of measles vaccine.”
Measles vaccine failure and cyclical outbreaks appears to have always been baked into the cake with these shots and an ‘eradication’ program.
A 2009 article published in the Proceedings of the Royal Society titled Implications of vaccination and waning immunity illustrated a model formulation created by researchers capturing both the “within-host dynamics of the pathogen and immune system as well as the associated population-level transmission dynamics” of measles. They state:
“Here, we parametrize such a model for measles and show how vaccination can have a range of unexpected consequences as it reduces the natural boosting of immunity as well as reducing the number of naive susceptibles.”
“In particular, we show that moderate waning times (40–80 years) and high levels of vaccination (greater than 70%) can induce large-scale oscillations with substantial numbers of symptomatic cases being generated at the peak.”
“In addition, we predict that, after a long disease-free period, the introduction of infection will lead to far larger epidemics than that predicted by standard models. These results have clear implications for the long-term success of any vaccination campaign and highlight the need for a sound understanding of the immunological mechanisms of immunity and vaccination.”
A further uncomfortable conversation for public health officials is the evidence showing positive health benefits later in life from naturally acquiring childhood illnesses like measles.
A lowering of cardiovascular disease, heart attacks, strokes and even some cancers has been documented.
Below is a report from last year breaking down aspects of the measles vaccine and historical measles cases in the U.S. compared to other health issues children face.
CLICK HERE for the most recent report from The HighWire on the measles outbreak

